Pancreatic endocrinogenesis

Code
%load_ext autoreload
%autoreload 2 
from IPython.display import Image, display

Please see the guide on interactive results review for a general review of how to download and review results. Here we use the same approach without any of the explanatory text to retrieve model results to generate plots for model selection and evaluation.

1 Get results

In this notebook we illustrate how to download and review results using unrealistic downsampled data. Therefore, this notebook should not be taken to represent the results of applying the model to real data.

1.1 Identify results of interest

from pyrovelocity.io.cluster import get_remote_task_results

# execution_id = "pyrovelocity-py311-defaul-fe20d09-dev-pzh-17b5092261c84e8695a"  # downsampled
execution_id = (
    "pyrovelocity-595-gsmc-feaa936-dev-vf0-264734a284ac493fa39"  # complete
)

(
    model1_postprocessing_inputs,
    model1_postprocessing_outputs,
) = get_remote_task_results(
    execution_id=execution_id,
    task_id="f26c1pjy-0-dn1-0-dn3",
)

(
    model2_postprocessing_inputs,
    model2_postprocessing_outputs,
) = get_remote_task_results(
    execution_id=execution_id,
    task_id="f26c1pjy-0-dn1-0-dn7",
)

└── postprocess_configuration:                                                                                                                      
      number_posterior_samples: 30.0                                                                                                                
    preprocess_data_args:                                                                                                                           
      adata: data/external/pancreas.h5ad                                                                                                            
      cell_state: clusters                                                                                                                          
      count_threshold: 0.0                                                                                                                          
      data_processed_path: data/processed                                                                                                           
      data_set_name: pancreas                                                                                                                       
      default_velocity_mode: dynamical                                                                                                              
      min_shared_counts: 30.0                                                                                                                       
      n_neighbors: 30.0                                                                                                                             
      n_obs_subset: 300.0                                                                                                                           
      n_pcs: 30.0                                                                                                                                   
      n_top_genes: 2000.0                                                                                                                           
      n_vars_subset: 200.0                                                                                                                          
      overwrite: false                                                                                                                              
      process_cytotrace: true                                                                                                                       
      use_obs_subset: false                                                                                                                         
      use_vars_subset: false                                                                                                                        
      vector_field_basis: umap                                                                                                                      
    training_outputs:                                                                                                                               
      data_model: pancreas_model1                                                                                                                   
      data_model_path: models/pancreas_model1                                                                                                       
      loss_plot_path:                                                                                                                               
        path: gs://pyro-284215-flyte-user-pyrovelocity-dev/data/sw/flfip54y/072cd31b52f928ca1277d2da8a7a7f05/ELBO.png                               
      metrics_path:                                                                                                                                 
        path: gs://pyro-284215-flyte-user-pyrovelocity-dev/data/sw/flfip54y/0030a6c56ba3fdadf4b0af178038523d/metrics.json                           
      model_path:                                                                                                                                   
        path: gs://pyro-284215-flyte-user-pyrovelocity-dev/data/sw/flfip54y/896904dca80ab80eb8962871325c24e3                                        
      posterior_samples_path:                                                                                                                       
        path: gs://pyro-284215-flyte-user-pyrovelocity-dev/data/sw/flfip54y/88a07607d3e59f3112f976c785c79b98/posterior_samples.pkl.zst              
      run_info_path:                                                                                                                                
        path: gs://pyro-284215-flyte-user-pyrovelocity-dev/data/sw/flfip54y/68e1a9eb3ee47ce007f6804567f9fefd/run_info.json                          
      trained_data_path:                                                                                                                            
        path: gs://pyro-284215-flyte-user-pyrovelocity-dev/data/sw/flfip54y/8cd0d1d241a5c2096da3cbd125bcb59b/trained.h5ad                           
                                                                                                                                                    

└── o0:                                                                                                                                             
      postprocessed_data:                                                                                                                           
        path: gs://pyro-284215-flyte-user-pyrovelocity-dev/data/t6/fetgomfi/3e4844e172c3c1a373e564a991bf210b/postprocessed.h5ad                     
      pyrovelocity_data:                                                                                                                            
        path: gs://pyro-284215-flyte-user-pyrovelocity-dev/data/t6/fetgomfi/e9bad79fc3eb1b970fdf0d2e6d834e35/pyrovelocity.pkl.zst                   
                                                                                                                                                    

└── postprocess_configuration:                                                                                                                      
      number_posterior_samples: 30.0                                                                                                                
    preprocess_data_args:                                                                                                                           
      adata: data/external/pancreas.h5ad                                                                                                            
      cell_state: clusters                                                                                                                          
      count_threshold: 0.0                                                                                                                          
      data_processed_path: data/processed                                                                                                           
      data_set_name: pancreas                                                                                                                       
      default_velocity_mode: dynamical                                                                                                              
      min_shared_counts: 30.0                                                                                                                       
      n_neighbors: 30.0                                                                                                                             
      n_obs_subset: 300.0                                                                                                                           
      n_pcs: 30.0                                                                                                                                   
      n_top_genes: 2000.0                                                                                                                           
      n_vars_subset: 200.0                                                                                                                          
      overwrite: false                                                                                                                              
      process_cytotrace: true                                                                                                                       
      use_obs_subset: false                                                                                                                         
      use_vars_subset: false                                                                                                                        
      vector_field_basis: umap                                                                                                                      
    training_outputs:                                                                                                                               
      data_model: pancreas_model2                                                                                                                   
      data_model_path: models/pancreas_model2                                                                                                       
      loss_plot_path:                                                                                                                               
        path: gs://pyro-284215-flyte-user-pyrovelocity-dev/data/9r/fbucfxyy/8403bb004c57db42195b02e367ef5081/ELBO.png                               
      metrics_path:                                                                                                                                 
        path: gs://pyro-284215-flyte-user-pyrovelocity-dev/data/9r/fbucfxyy/786b484cab5fa8eb2a831c18decdfa11/metrics.json                           
      model_path:                                                                                                                                   
        path: gs://pyro-284215-flyte-user-pyrovelocity-dev/data/9r/fbucfxyy/22eb165bc78f4af578bd1037ca46e19e                                        
      posterior_samples_path:                                                                                                                       
        path: gs://pyro-284215-flyte-user-pyrovelocity-dev/data/9r/fbucfxyy/af9e7531bca61530162936bbd447d6f8/posterior_samples.pkl.zst              
      run_info_path:                                                                                                                                
        path: gs://pyro-284215-flyte-user-pyrovelocity-dev/data/9r/fbucfxyy/1f70c93816ec8626553a8b59d05128a9/run_info.json                          
      trained_data_path:                                                                                                                            
        path: gs://pyro-284215-flyte-user-pyrovelocity-dev/data/9r/fbucfxyy/359b307225eb1e95335c948ad66dbc61/trained.h5ad                           
                                                                                                                                                    

└── o0:                                                                                                                                             
      postprocessed_data:                                                                                                                           
        path: gs://pyro-284215-flyte-user-pyrovelocity-dev/data/wp/fkav4jki/66f2a973f4955d74a02d42770444344d/postprocessed.h5ad                     
      pyrovelocity_data:                                                                                                                            
        path: gs://pyro-284215-flyte-user-pyrovelocity-dev/data/wp/fkav4jki/9969d8f03e8614681fad4096d955f64d/pyrovelocity.pkl.zst                   
                                                                                                                                                    

1.2 Download results

from pyrovelocity.io.gcs import download_blob_from_uri

model1_pyrovelocity_data = download_blob_from_uri(
    blob_uri=model1_postprocessing_outputs.o0.pyrovelocity_data.path,
    download_filename_prefix=f"{model1_postprocessing_inputs.training_outputs.data_model}",
)
model1_postprocessed_data = download_blob_from_uri(
    blob_uri=model1_postprocessing_outputs.o0.postprocessed_data.path,
    download_filename_prefix=f"{model1_postprocessing_inputs.training_outputs.data_model}",
)

model2_pyrovelocity_data = download_blob_from_uri(
    blob_uri=model2_postprocessing_outputs.o0.pyrovelocity_data.path,
    download_filename_prefix=f"{model2_postprocessing_inputs.training_outputs.data_model}",
)
model2_postprocessed_data = download_blob_from_uri(
    blob_uri=model2_postprocessing_outputs.o0.postprocessed_data.path,
    download_filename_prefix=f"{model2_postprocessing_inputs.training_outputs.data_model}",
)
[19:33:10] INFO     pyrovelocity.io.gcs                                                                            
                    File pancreas_model1_pyrovelocity.pkl.zst already exists.                                      
                    The hash of the requested file has not been checked.                                           
                    Delete and re-run to download again.                                                           
                                                                                                                   
                                                                                                                   
[19:33:11] INFO     pyrovelocity.io.gcs                                                                            
                    File pancreas_model1_postprocessed.h5ad already exists.                                        
                    The hash of the requested file has not been checked.                                           
                    Delete and re-run to download again.                                                           
                                                                                                                   
                                                                                                                   
           INFO     pyrovelocity.io.gcs                                                                            
                    File pancreas_model2_pyrovelocity.pkl.zst already exists.                                      
                    The hash of the requested file has not been checked.                                           
                    Delete and re-run to download again.                                                           
                                                                                                                   
                                                                                                                   
[19:33:12] INFO     pyrovelocity.io.gcs                                                                            
                    File pancreas_model2_postprocessed.h5ad already exists.                                        
                    The hash of the requested file has not been checked.                                           
                    Delete and re-run to download again.                                                           
                                                                                                                   
                                                                                                                   

2 Analyze results

2.1 Model 1

2.1.1 Load data

import scanpy as sc
from pyrovelocity.utils import print_anndata

adata = sc.read(model1_postprocessed_data)
print_anndata(adata)
           INFO     pyrovelocity.utils                                                                             
                    AnnData object with n_obs × n_vars = 3696 × 2000                                               
                        obs:                                                                                       
                            clusters_coarse,                                                                       
                            clusters,                                                                              
                            S_score,                                                                               
                            G2M_score,                                                                             
                            u_lib_size_raw,                                                                        
                            s_lib_size_raw,                                                                        
                            gcs,                                                                                   
                            cytotrace,                                                                             
                            counts,                                                                                
                            initial_size_unspliced,                                                                
                            initial_size_spliced,                                                                  
                            initial_size,                                                                          
                            n_counts,                                                                              
                            leiden,                                                                                
                            velocity_self_transition,                                                              
                            root_cells,                                                                            
                            end_points,                                                                            
                            velocity_pseudotime,                                                                   
                            latent_time,                                                                           
                            u_lib_size,                                                                            
                            s_lib_size,                                                                            
                            u_lib_size_mean,                                                                       
                            s_lib_size_mean,                                                                       
                            u_lib_size_scale,                                                                      
                            s_lib_size_scale,                                                                      
                            ind_x,                                                                                 
                            cell_time,                                                                             
                            1-Cytotrace,                                                                           
                            velocity_pyro_self_transition,                                                         
                        var:                                                                                       
                            highly_variable_genes,                                                                 
                            cytotrace,                                                                             
                            cytotrace_corrs,                                                                       
                            gene_count_corr,                                                                       
                            means,                                                                                 
                            dispersions,                                                                           
                            dispersions_norm,                                                                      
                            highly_variable,                                                                       
                            fit_r2,                                                                                
                            fit_alpha,                                                                             
                            fit_beta,                                                                              
                            fit_gamma,                                                                             
                            fit_t_,                                                                                
                            fit_scaling,                                                                           
                            fit_std_u,                                                                             
                            fit_std_s,                                                                             
                            fit_likelihood,                                                                        
                            fit_u0,                                                                                
                            fit_s0,                                                                                
                            fit_pval_steady,                                                                       
                            fit_steady_u,                                                                          
                            fit_steady_s,                                                                          
                            fit_variance,                                                                          
                            fit_alignment_scaling,                                                                 
                            velocity_genes,                                                                        
                        uns:                                                                                       
                            _scvi_manager_uuid,                                                                    
                            _scvi_uuid,                                                                            
                            clusters_coarse_colors,                                                                
                            clusters_colors,                                                                       
                            day_colors,                                                                            
                            leiden,                                                                                
                            log1p,                                                                                 
                            neighbors,                                                                             
                            pca,                                                                                   
                            recover_dynamics,                                                                      
                            velocity_graph,                                                                        
                            velocity_graph_neg,                                                                    
                            velocity_params,                                                                       
                            velocity_pyro_graph,                                                                   
                            velocity_pyro_graph_neg,                                                               
                            velocity_pyro_params,                                                                  
                        obsm:                                                                                      
                            X_pca,                                                                                 
                            X_umap,                                                                                
                            velocity_pyro_pca,                                                                     
                            velocity_pyro_umap,                                                                    
                            velocity_umap,                                                                         
                        varm:                                                                                      
                            PCs,                                                                                   
                            loss,                                                                                  
                        layers:                                                                                    
                            Ms,                                                                                    
                            Mu,                                                                                    
                            fit_t,                                                                                 
                            fit_tau,                                                                               
                            fit_tau_,                                                                              
                            raw_spliced,                                                                           
                            raw_unspliced,                                                                         
                            spliced,                                                                               
                            spliced_pyro,                                                                          
                            unspliced,                                                                             
                            velocity,                                                                              
                            velocity_pyro,                                                                         
                            velocity_u,                                                                            
                        obsp:                                                                                      
                            connectivities,                                                                        
                            distances,                                                                             
from pyrovelocity.utils import pretty_print_dict
from pyrovelocity.io import CompressedPickle

posterior_samples = CompressedPickle.load(model1_pyrovelocity_data)
pretty_print_dict(posterior_samples)
[19:33:13] INFO     pyrovelocity.utils                                                                             
                    alpha:                                                                                         
                    (30, 1, 2000)                                                                                  
                    gamma:                                                                                         
                    (30, 1, 2000)                                                                                  
                    beta:                                                                                          
                    (30, 1, 2000)                                                                                  
                    t0:                                                                                            
                    (30, 1, 2000)                                                                                  
                    u_scale:                                                                                       
                    (30, 1, 2000)                                                                                  
                    dt_switching:                                                                                  
                    (30, 1, 2000)                                                                                  
                    u_inf:                                                                                         
                    (30, 1, 2000)                                                                                  
                    s_inf:                                                                                         
                    (30, 1, 2000)                                                                                  
                    switching:                                                                                     
                    (30, 1, 2000)                                                                                  
                    cell_time:                                                                                     
                    (30, 3696, 1)                                                                                  
                    u_read_depth:                                                                                  
                    (30, 3696, 1)                                                                                  
                    s_read_depth:                                                                                  
                    (30, 3696, 1)                                                                                  
                    cell_gene_state:                                                                               
                    (30, 3696, 2000)                                                                               
                    gene_ranking:                                                                                  
                             mean_mae  time_correlation  mean_mae_rank  time_correlation_rank  \                   
                    genes                                                                                          
                    Pdia6   -0.720178          0.999334           77.0                    1.0                      
                    Calr    -0.657205          0.999204           58.0                    2.0                      
                    Sec61g  -0.936153          0.997772          178.0                    3.0                      
                    Rpn2    -0.873851          0.988811          140.0                    5.0                      
                    Dlk1    -0.923083          0.987080          163.0                    6.0                      
                    ...           ...               ...            ...                    ...                      
                    Mt1     -0.708479         -0.896828           72.0                  250.0                      
                    Clu     -0.665874         -0.902599           61.0                  228.0                      
                    Lurap1l -0.868574         -0.906450          138.0                  217.0                      
                    Csrp1   -1.043720         -0.908675          252.0                  206.0                      
                    H19     -0.720566         -0.912351           78.0                  189.0                      
                                                                                                                   
                             rank_product  selected genes                                                          
                    genes                                                                                          
                    Pdia6            77.0               1                                                          
                    Calr            116.0               1                                                          
                    Sec61g          534.0               1                                                          
                    Rpn2            700.0               1                                                          
                    Dlk1            978.0               0                                                          
                    ...               ...             ...                                                          
                    Mt1           18000.0               0                                                          
                    Clu           13908.0               0                                                          
                    Lurap1l       29946.0               0                                                          
                    Csrp1         51912.0               0                                                          
                    H19           14742.0               0                                                          
                                                                                                                   
                    [300 rows x 6 columns]                                                                         
                    original_spaces_embeds_magnitude:                                                              
                    (30, 3696)                                                                                     
                    genes:                                                                                         
                    ['Pdia6', 'Calr', 'Sec61g', 'Rpn2']                                                            
                    vector_field_posterior_samples:                                                                
                    (30, 3696, 2)                                                                                  
                    vector_field_posterior_mean:                                                                   
                    (3696, 2)                                                                                      
                    fdri:                                                                                          
                    (3696,)                                                                                        
                    embeds_magnitude:                                                                              
                    (30, 3696)                                                                                     
                    embeds_angle:                                                                                  
                    (30, 3696)                                                                                     
                    ut_mean:                                                                                       
                    (3696, 2000)                                                                                   
                    st_mean:                                                                                       
                    (3696, 2000)                                                                                   
                    pca_vector_field_posterior_samples:                                                            
                    (30, 3696, 50)                                                                                 
                    pca_embeds_angle:                                                                              
                    (30, 3696)                                                                                     
                    pca_fdri:                                                                                      
                    (3696,)                                                                                        
                                                                                                                   

2.1.2 Extract results of interest

We decompose the correlation of each gene’s expression level with the cell time estimates into eight equally-spaced bins and select the top 3% of genes with respect to the mean absolute error between the predictive sample mean and the observed expression level.

from pyrovelocity.analysis.analyze import top_mae_genes

volcano_data = posterior_samples["gene_ranking"]
number_of_marker_genes = min(
    max(int(len(volcano_data) * 0.1), 4), 6, len(volcano_data)
)
putative_marker_genes = top_mae_genes(
    volcano_data,
    mae_top_percentile=3,
    min_genes_per_bin=3,
)
           INFO     pyrovelocity.analysis.analyze                                                                  
                    Selected 26 genes based on top 3% MAE from 8 time correlation bins, with a minimum of 3 genes  
                    per bin, sorted by time correlation:                                                           
                                                                                                                   
                      ['Ctrb1', 'Malat1', 'H3f3b', 'Actb', 'Actg1', 'Hspa8', 'Cdk4', 'Ins2', 'Krt8', 'Arl6ip1',    
                    'Myl12b', 'Ranbp1', 'Gapdh', 'Mif', 'Pebp1', 'Myl12a', 'Krt18', 'Mgst1', 'Cdkn1c', 'Tpm1',     
                    'Tead2', 'Acot1', 'Vim', 'Spp1', 'Sparc', 'Clu']                                               
                                                                                                                   
                                                                                                                   

2.1.3 Generate plots

We generate several summary plots below for two distinct model classes in order to support comparative model evaluation, which is among few options for selecting effective models that are not designed to be microscopically valid.

Here we plot the gene selection statistics highlighting genes of interest based upon them.

from pyrovelocity.plots import plot_gene_ranking

vector_field_basis = (
    model1_postprocessing_inputs.preprocess_data_args.vector_field_basis
)
cell_state = model1_postprocessing_inputs.preprocess_data_args.cell_state

plot_gene_ranking(
    posterior_samples=[posterior_samples],
    adata=[adata],
    selected_genes=putative_marker_genes,
    time_correlation_with="st",
    show_marginal_histograms=True,
    save_volcano_plot=True,
    volcano_plot_path="model1_volcano_plot.pdf",
)
Code
display(Image(filename=f"model1_volcano_plot.pdf.png"))

We can attempt to attribute the statistics to underlying features plotting phase portraits, predictive expression, and log-transformed expression of the proposed marker genes

from pyrovelocity.plots import rainbowplot

rainbowplot(
    volcano_data=volcano_data,
    adata=adata,
    posterior_samples=posterior_samples,
    genes=putative_marker_genes,
    data=["st", "ut"],
    basis=vector_field_basis,
    cell_state=cell_state,
    save_plot=True,
    rainbow_plot_path="model1_rainbow_plot.pdf",
)
Code
display(Image(filename=f"model1_rainbow_plot.pdf.png"))

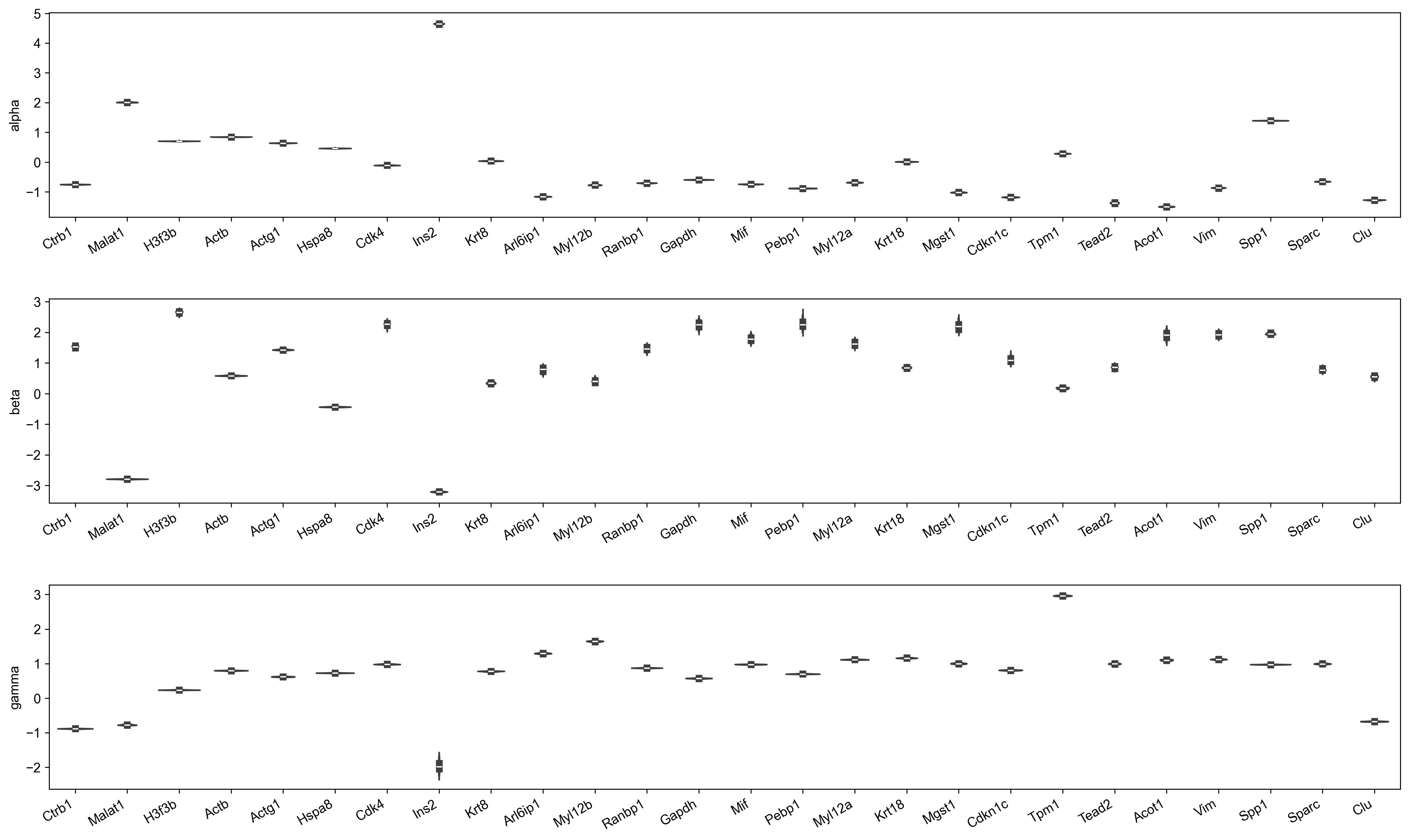
It is somewhat difficult to compare the parameter posteriors on a common scale but we plot their posterior distributions below.

from pyrovelocity.plots import plot_parameter_posterior_distributions

posterior_samples.pop("t0", None)

plot_parameter_posterior_distributions(
    posterior_samples=posterior_samples,
    adata=adata,
    geneset=putative_marker_genes,
    parameter_uncertainty_plot="model1_parameter_uncertainty_plot.pdf",
)
Code
display(Image(filename=f"model1_parameter_uncertainty_plot.pdf.png"))

2.2 Model 2

We provide a comparable analysis for the second model below.

2.2.1 Load data

import scanpy as sc
from pyrovelocity.utils import print_anndata

adata = sc.read(model2_postprocessed_data)
print_anndata(adata)
[19:34:30] INFO     pyrovelocity.utils                                                                             
                    AnnData object with n_obs × n_vars = 3696 × 2000                                               
                        obs:                                                                                       
                            clusters_coarse,                                                                       
                            clusters,                                                                              
                            S_score,                                                                               
                            G2M_score,                                                                             
                            u_lib_size_raw,                                                                        
                            s_lib_size_raw,                                                                        
                            gcs,                                                                                   
                            cytotrace,                                                                             
                            counts,                                                                                
                            initial_size_unspliced,                                                                
                            initial_size_spliced,                                                                  
                            initial_size,                                                                          
                            n_counts,                                                                              
                            leiden,                                                                                
                            velocity_self_transition,                                                              
                            root_cells,                                                                            
                            end_points,                                                                            
                            velocity_pseudotime,                                                                   
                            latent_time,                                                                           
                            u_lib_size,                                                                            
                            s_lib_size,                                                                            
                            u_lib_size_mean,                                                                       
                            s_lib_size_mean,                                                                       
                            u_lib_size_scale,                                                                      
                            s_lib_size_scale,                                                                      
                            ind_x,                                                                                 
                            cell_time,                                                                             
                            1-Cytotrace,                                                                           
                            velocity_pyro_self_transition,                                                         
                        var:                                                                                       
                            highly_variable_genes,                                                                 
                            cytotrace,                                                                             
                            cytotrace_corrs,                                                                       
                            gene_count_corr,                                                                       
                            means,                                                                                 
                            dispersions,                                                                           
                            dispersions_norm,                                                                      
                            highly_variable,                                                                       
                            fit_r2,                                                                                
                            fit_alpha,                                                                             
                            fit_beta,                                                                              
                            fit_gamma,                                                                             
                            fit_t_,                                                                                
                            fit_scaling,                                                                           
                            fit_std_u,                                                                             
                            fit_std_s,                                                                             
                            fit_likelihood,                                                                        
                            fit_u0,                                                                                
                            fit_s0,                                                                                
                            fit_pval_steady,                                                                       
                            fit_steady_u,                                                                          
                            fit_steady_s,                                                                          
                            fit_variance,                                                                          
                            fit_alignment_scaling,                                                                 
                            velocity_genes,                                                                        
                        uns:                                                                                       
                            _scvi_manager_uuid,                                                                    
                            _scvi_uuid,                                                                            
                            clusters_coarse_colors,                                                                
                            clusters_colors,                                                                       
                            day_colors,                                                                            
                            leiden,                                                                                
                            log1p,                                                                                 
                            neighbors,                                                                             
                            pca,                                                                                   
                            recover_dynamics,                                                                      
                            velocity_graph,                                                                        
                            velocity_graph_neg,                                                                    
                            velocity_params,                                                                       
                            velocity_pyro_graph,                                                                   
                            velocity_pyro_graph_neg,                                                               
                            velocity_pyro_params,                                                                  
                        obsm:                                                                                      
                            X_pca,                                                                                 
                            X_umap,                                                                                
                            velocity_pyro_pca,                                                                     
                            velocity_pyro_umap,                                                                    
                            velocity_umap,                                                                         
                        varm:                                                                                      
                            PCs,                                                                                   
                            loss,                                                                                  
                        layers:                                                                                    
                            Ms,                                                                                    
                            Mu,                                                                                    
                            fit_t,                                                                                 
                            fit_tau,                                                                               
                            fit_tau_,                                                                              
                            raw_spliced,                                                                           
                            raw_unspliced,                                                                         
                            spliced,                                                                               
                            spliced_pyro,                                                                          
                            unspliced,                                                                             
                            velocity,                                                                              
                            velocity_pyro,                                                                         
                            velocity_u,                                                                            
                        obsp:                                                                                      
                            connectivities,                                                                        
                            distances,                                                                             
from pyrovelocity.utils import pretty_print_dict
from pyrovelocity.io import CompressedPickle

posterior_samples = CompressedPickle.load(model2_pyrovelocity_data)
pretty_print_dict(posterior_samples)
[19:34:32] INFO     pyrovelocity.utils                                                                             
                    alpha:                                                                                         
                    (30, 1, 2000)                                                                                  
                    gamma:                                                                                         
                    (30, 1, 2000)                                                                                  
                    beta:                                                                                          
                    (30, 1, 2000)                                                                                  
                    u_offset:                                                                                      
                    (30, 1, 2000)                                                                                  
                    s_offset:                                                                                      
                    (30, 1, 2000)                                                                                  
                    t0:                                                                                            
                    (30, 1, 2000)                                                                                  
                    u_scale:                                                                                       
                    (30, 1, 2000)                                                                                  
                    dt_switching:                                                                                  
                    (30, 1, 2000)                                                                                  
                    u_inf:                                                                                         
                    (30, 1, 2000)                                                                                  
                    s_inf:                                                                                         
                    (30, 1, 2000)                                                                                  
                    switching:                                                                                     
                    (30, 1, 2000)                                                                                  
                    cell_time:                                                                                     
                    (30, 3696, 1)                                                                                  
                    u_read_depth:                                                                                  
                    (30, 3696, 1)                                                                                  
                    s_read_depth:                                                                                  
                    (30, 3696, 1)                                                                                  
                    cell_gene_state:                                                                               
                    (30, 3696, 2000)                                                                               
                    gene_ranking:                                                                                  
                             mean_mae  time_correlation  mean_mae_rank  time_correlation_rank  \                   
                    genes                                                                                          
                    Scg3    -0.809207          0.948156          134.0                  311.0                      
                    Tuba1a  -0.710443          0.931160           91.0                  478.0                      
                    Cpe     -0.539928          0.929520           36.0                  492.0                      
                    Pcsk2   -0.710860          0.920191           93.0                  556.0                      
                    Pim2    -1.023732          0.918140          275.0                  576.0                      
                    ...           ...               ...            ...                    ...                      
                    Ubc     -0.924188         -0.984542          194.0                    9.0                      
                    Cox7a2l -0.602947         -0.985077           56.0                    6.0                      
                    Ube2e3  -0.837889         -0.990080          147.0                    3.0                      
                    Spint2  -0.466256         -0.991123           20.0                    2.0                      
                    Calm2   -0.470297         -0.991592           21.0                    1.0                      
                                                                                                                   
                             rank_product  selected genes                                                          
                    genes                                                                                          
                    Scg3          41674.0               1                                                          
                    Tuba1a        43498.0               1                                                          
                    Cpe           17712.0               1                                                          
                    Pcsk2         51708.0               1                                                          
                    Pim2         158400.0               0                                                          
                    ...               ...             ...                                                          
                    Ubc            1746.0               0                                                          
                    Cox7a2l         336.0               0                                                          
                    Ube2e3          441.0               0                                                          
                    Spint2           40.0               0                                                          
                    Calm2            21.0               0                                                          
                                                                                                                   
                    [300 rows x 6 columns]                                                                         
                    original_spaces_embeds_magnitude:                                                              
                    (30, 3696)                                                                                     
                    genes:                                                                                         
                    ['Scg3', 'Tuba1a', 'Cpe', 'Pcsk2']                                                             
                    vector_field_posterior_samples:                                                                
                    (30, 3696, 2)                                                                                  
                    vector_field_posterior_mean:                                                                   
                    (3696, 2)                                                                                      
                    fdri:                                                                                          
                    (3696,)                                                                                        
                    embeds_magnitude:                                                                              
                    (30, 3696)                                                                                     
                    embeds_angle:                                                                                  
                    (30, 3696)                                                                                     
                    ut_mean:                                                                                       
                    (3696, 2000)                                                                                   
                    st_mean:                                                                                       
                    (3696, 2000)                                                                                   
                    pca_vector_field_posterior_samples:                                                            
                    (30, 3696, 50)                                                                                 
                    pca_embeds_angle:                                                                              
                    (30, 3696)                                                                                     
                    pca_fdri:                                                                                      
                    (3696,)                                                                                        
                                                                                                                   

2.2.2 Extract results of interest

from pyrovelocity.analysis.analyze import top_mae_genes

volcano_data = posterior_samples["gene_ranking"]
number_of_marker_genes = min(
    max(int(len(volcano_data) * 0.1), 4), 6, len(volcano_data)
)
putative_marker_genes = top_mae_genes(
    volcano_data,
    mae_top_percentile=3,
    min_genes_per_bin=3,
)
           INFO     pyrovelocity.analysis.analyze                                                                  
                    Selected 28 genes based on top 3% MAE from 8 time correlation bins, with a minimum of 3 genes  
                    per bin, sorted by time correlation:                                                           
                                                                                                                   
                      ['Cpe', 'Fam183b', 'Gnas', 'Iapp', 'Aplp1', 'Bex2', 'Ins1', 'Ins2', 'Emb', 'Cck', 'Gars',    
                    'Camk2n1', 'Ypel3', 'Glud1', 'Selm', 'Btg2', 'Ttr', 'Tmsb4x', 'Atp6v0b', 'Marcks', 'Krt7',     
                    'Spp1', 'Ctrb1', 'H3f3b', 'Actg1', 'Actb', 'Malat1', 'Spint2']                                 
                                                                                                                   
                                                                                                                   

2.2.3 Generate plots

from pyrovelocity.plots import plot_gene_ranking

vector_field_basis = (
    model2_postprocessing_inputs.preprocess_data_args.vector_field_basis
)
cell_state = model2_postprocessing_inputs.preprocess_data_args.cell_state

plot_gene_ranking(
    posterior_samples=[posterior_samples],
    adata=[adata],
    selected_genes=putative_marker_genes,
    time_correlation_with="st",
    show_marginal_histograms=True,
    save_volcano_plot=True,
    volcano_plot_path="model2_volcano_plot.pdf",
)
Code
display(Image(filename=f"model2_volcano_plot.pdf.png"))

Plot phase portraits, predictive expression, and log-transformed expression of all proposed marker genes

from pyrovelocity.plots import rainbowplot

rainbowplot(
    volcano_data=volcano_data,
    adata=adata,
    posterior_samples=posterior_samples,
    genes=putative_marker_genes,
    data=["st", "ut"],
    basis=vector_field_basis,
    cell_state=cell_state,
    save_plot=True,
    rainbow_plot_path="model2_rainbow_plot.pdf",
)
Code
display(Image(filename=f"model2_rainbow_plot.pdf.png"))

Finally, we plot the parameter posteriors for the second model.

from pyrovelocity.plots import plot_parameter_posterior_distributions

plot_parameter_posterior_distributions(
    posterior_samples=posterior_samples,
    adata=adata,
    geneset=putative_marker_genes,
    parameter_uncertainty_plot="model2_parameter_uncertainty_plot.pdf",
)
Code
display(Image(filename=f"model2_parameter_uncertainty_plot.pdf.png"))